※当サイトのコンテンツや情報において、可能な限り正確な情報を掲載するよう努めています。しかし、誤情報が入り込んだり、情報が古くなったりすることもあります。掲載情報は記事作成時点での情報です。最新情報は各自でご確認ください。
※各医薬品の添付文書、インタビューフォーム等を基に記事作成を行っています。
薬剤師国家試験に出題されている、医薬品、薬理成分の構造式を確認していきます。
108-29-1
出典:薬剤師国家試験 108回問29
この構造式は アセトアミノフェン と考えらえる。
6年制薬剤師国家試験ではアセトアミノフェンの構造式は9回目の登場です。有名な医薬品の為必須医薬品でしょうか。
『アセト+アミノ+フェン』と薬学生ならば簡単でしょう。
108-29-2
出典:薬剤師国家試験 108回問29
この構造式は アスピリン と考えらえる。
アセチルサリチル酸はCOX─1 と COX─2 を不可逆的に阻害するNSAIDSです。
97回問106以来2回目の登場です。
主な医薬品: バイアスピリン
108-29-3
出典:薬剤師国家試験 108回問29
この構造式は イブプロフェン と考えらえる。
イブプロフェンはCOXを可逆的に阻害するプロピオン酸系NSAIDsである。
97回問108以来2回目の登場。
主な医薬品: ブルフェン
108-29-4
出典:薬剤師国家試験 108回問29
この構造式は 5-アミノサリチル酸(メサラジン) と考えらえる。
主な医薬品: アサコール
構造式 国試初登場
108-29-5
出典:薬剤師国家試験 108回問29
この構造式は サリチル酸ナトリウム と考えらえる。
構造式 国試初登場
108-44-1
出典:薬剤師国家試験 108回問44
この構造式は テモカプリル 。
主な医薬品: エースコール
構造式 国試初登場
108-44-2
出典:薬剤師国家試験 108回問44
この構造式は テガフール 。
主な医薬品: エスエーワン
構造式 6年制国家試験 2回目の登場
108-44-3
出典:薬剤師国家試験 108回問44
この構造式は イミプラミン 。
イミプラミン塩酸塩は三環系抗うつ薬。
主な医薬品: トフラニール
構造式 6年制国家試験 2回目の登場
108-44-4
出典:薬剤師国家試験 108回問44
この構造式は インドメタシン 。
インドメタシンは酸性NSAIDsでインドール骨格を有することが特徴的である。
主な医薬品: インテバン
構造式 6年制国家試験 6回目の登場
108-44-5
出典:薬剤師国家試験 108回問44
この構造式は モルヒネ 。
モルヒネは麻薬性鎮痛薬でイソキノリン骨格を有することが特徴的である。
モルヒネはチロシン由来のアルカロイド。
主な医薬品: MSコンチン
構造式 6年制国家試験 8回目の登場
108-101
出典:薬剤師国家試験 108回問101
この構造式は ジルチアゼム 。
化学名: (2 S, 3 S)-5-[2-(Dimethylamino)ethyl]-2-(4-methoxyphenyl)-4-oxo-2, 3, 4, 5-tetrahydro-1, 5-benzothiazepin-3-yl acetate monohydrochlorid
田辺製薬にて開発されたCa拮抗薬である。ベンゾチアゼピン誘導体。
主な医薬品: ヘルベッサー
構造式 国試初登場
108-104
出典:薬剤師国家試験 108回問104
この構造式は フィンゴリモド 。
化学名: 2-Amino-2-[2-(4-octylphenyl)ethyl]propane-1,3-diol monohydrochloride
スフィンゴシンと類似した化学構造を有する多発性硬化症治療剤。
主な医薬品: イムセラ
構造式 国試初登場
108-105
出典:薬剤師国家試験 108回問105
この構造式は ダイゼイン 。
化学名: 7-Hydroxy-3-(4-hydroxyphenyl) chromen-4-one
ダイゼインはイソフラボンである。
ダイゼインは腸内細菌により代謝されてエクオールとなる。
エクオールは大塚製薬の「エクエル」などのサプリメントに含まれている。
構造式 6年制国家試験 2回目の登場
エクエル パウチ 120粒入り 大塚製薬 エクオール
posted with カエレバ
108-106-1
出典:薬剤師国家試験 108回問105
この構造式は シンナムアルデヒド と考えらえる。
化学名: (2E)-3-phenylprop-2-enal
桂皮の主成分で芳香族アルデヒドの1つである。
構造式 6年制国家試験 4回目の登場
108-106-2
出典:薬剤師国家試験 108回問106
この構造式は エフェドリン と考えらえる。
麻黄の主成分であるエフェドリンはフェネチルアミン類である。
主な医薬品: ヱフェドリン「ナガヰ」錠25mg、アストフィリン配合錠
構造式 6年制国家試験 7回目の登場
108-106-3
出典:薬剤師国家試験 108回問106
この構造式は ペオニフロリン と考えらえる。
芍薬の根に含まれるペオニフロリンはモノテルペン配糖体の一つ。
構造式 国試初登場
108-106-4
出典:薬剤師国家試験 108回問106
この構造式は グリチルリチン と考えらえる。
甘草の根に含まれるグリチルリチンはトリテルペン配糖体である。サポニンの中にもアグリコンにトリテルペン構造を持つ種類がある。アグリコンがトリテルペン(C30)で構成されていることからグリチルリチンと推測。
また、アルドステロン様作用を有するため偽アルドステロン症による低カリウム血症などに注意が必要。
構造式 6年制国家試験 5回目の登場
108-106-5
出典:薬剤師国家試験 108回問106
この構造式は 6-ショウガオール と考えらえる。
生姜の乾燥根茎の乾姜に含まれる6-ショウガオールはポリフェノールの一つ。
構造式 6年制国家試験 2回目の登場
108-108
出典:薬剤師国家試験 108回問108
この構造式は プロチレリン 。
プロチレリン(TRH)はグルタミン酸・ヒスチジン・プロリンの3つのアミノ酸からなるオリゴペプチド。プロラクチンの放出を促進する。
構造式 国試初登場
108-127-1
出典:薬剤師国家試験 108回問127
この構造式は リノール酸 と考えらえる。
化学名: (9Z,12Z)-octadeca-9,12-dienoic acid
リノール酸は不飽和脂肪酸の一種。リノールはギリシャ語の亜麻(linon)と油(oleic)に由来するそうです。
構造式 6年制国家試験 2回目の登場
108-127-2
出典:薬剤師国家試験 108回問127
この構造式は (9Z,11E,13S)-13-ヒドロペルオキシ-9,11-オクタデカジエン酸 と考えらえる。
構造式 国試初登場
108-127-4
出典:薬剤師国家試験 108回問127
この構造式は ヘキサナール と考えらえる。
構造式 国試初登場
108-127-4
出典:薬剤師国家試験 108回問127
この構造式は 2,4-ジニトロフェニルヒドラジン と考えらえる。
構造式 国試初登場
108-127-5
出典:薬剤師国家試験 108回問127
この構造式は マロンジアルデヒド と考えらえる。
化学名: propanedial
チオバルビツール酸試験法の脂質過酸化の指標として用いられる。
構造式 国試初登場
108-127-5
出典:薬剤師国家試験 108回問127
この構造式は チオバルビツール酸 と考えらえる。
化学名: 2-Thiobarbituric acid
チオバルビツール酸は油脂の変敗の指標の1つ。
構造式 国試初登場
108-109-1
出典:薬剤師国家試験 108回問130
この構造式は チアベンダゾール と考えらえる。
化学名: 2-(1,3-thiazol-4-yl)benzimidazole
チアベンダゾールは食品添加物の防カビ剤として使用が許可されている。バナナやかんきつ類に使用される。
構造式 6年制国家試験 3回目の登場
108-109-2
出典:薬剤師国家試験 108回問130
この構造式は デヒドロ酢酸ナトリウム と考えらえる。
食品添加物の指定添加物リストに収載。チーズ、バター、マーガリンを対象とした保存料。酸性~中性付近のpH域で効力を有する。
構造式 国試初登場
108-109-3
出典:薬剤師国家試験 108回問130
この構造式は グルタミン酸ナトリウム と考えらえる。
L-グルタミン酸ナトリウムはうまみ調味料のひとつで食品添加物の調味料に分類される。
「味の素」に含まれている成分です。
構造式 国試初登場
味の素 「味の素」「アジパンダ」瓶70g
posted with カエレバ
108-109-4
出典:薬剤師国家試験 108回問130
この構造式は エチレンジアミン四酢酸(EDTA) と考えらえる。
EDTAは金属封鎖作用のある酸化防止剤である。
構造式 6年制国家試験 2回目の登場
108-109-5
出典:薬剤師国家試験 108回問130
この構造式は ネオテーム と考えらえる。
化学名: Methyl N-(3,3-dimethylbutyl)-L-α-aspartyl-L-phenylalaninate
ネオテームはアスパルテームをN-アルキル化することにより合成された人口甘味料である。ショ糖の7000~13000倍の甘味度。
構造式 国試初登場
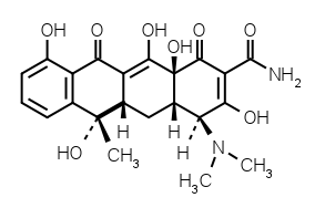
108-166-1
出典:薬剤師国家試験 108回問166
この構造式は テトラサイクリン と考えらえる。
化学名: (4S,4aS,5aS,6S,12aS)-4-Dimethylamino-3,6,10,12,12a-pentahydroxy-6-methyl-1,11-dioxo-1,4,4a,5,5a,6,11,12a-octahydrotetracene-2-carboxamide monohydrochloride
テトラサイクリン系抗菌薬である。細菌のリボゾームの30Sサブユニットに作用し、タンパク合成を阻害する。
主な医薬品: アクロマイシン
構造式 6年制国家試験 2回目の登場
108-166-2
出典:薬剤師国家試験 108回問166
この構造式は ベンジルペニシリンカリウム と考えらえる。
化学名: Monopotassium(2S, 5R, 6R)-3,3-dimethyl-7-oxo-6-[(phenylacetyl)amino]-4-thia-1-azabicyclo[3.2.0]heptane-2-carboxylate
ペニシリン系抗生物質製剤。ペニシリン系抗生物質と言えばペナム骨格を有することが特徴的である。
主な医薬品: ペニシリンG
構造式 6年制国家試験 3回目の登場
108-166-3
出典:薬剤師国家試験 108回問166
この構造式は エリスロマイシン と考えらえる。
化学名: Monopotassium(2S, 5R, 6R)-3,3-dimethyl-7-oxo-6-[(phenylacetyl)amino]-4-thia-1-azabicyclo[3.2.0]heptane-2-carboxylate
マクロライド系抗菌薬である。70S系リボソームの50Sサブユニットに結合し、細菌のタンパク質合成を阻害する。
14員環のラクトン環+糖の配糖体。
主な医薬品: エリスロシン
構造式 国試初登場
108-205
出典:薬剤師国家試験 108回問205
この構造式は オメプラゾール 。
オメプラゾールはプロトンポンプ阻害薬である。
プロトンポンプ阻害薬は赤線のような構造を持つ。
主な医薬品: オメプラール
構造式 6年制国家試験 6回目の登場
108-207
出典:薬剤師国家試験 108回問207
この構造式は ブシラミン 。
ブシラミンは抗リウマチ剤である。
ブシラミンはシステインの誘導体で2個のSH基(チオール)を有する
主な医薬品: リマチル
構造式 国試初登場
108-209-1
出典:薬剤師国家試験 108回問209
この構造式は ワルファリンカリウム と考えらえる。
ワルファリンはクマリン骨格を有する。
主な医薬品: ワーファリン
構造式 6年制国家試験 2回目の登場
108-209-2
出典:薬剤師国家試験 108回問209
この構造式は カルベジロール と考えらえる。
カルベジロールはカルバゾール環を有する。
主な医薬品: アーチスト
構造式 国試初登場
108-209-3
出典:薬剤師国家試験 108回問209
この構造式は ロサルタンカリウム と考えらえる。
ロサルタンはビフェニルテトラゾール環を有する。
主な医薬品: ニューロタン
構造式 国試初登場
108-209-4
出典:薬剤師国家試験 108回問209
この構造式は スピロノラクトン と考えらえる。
化学名: 7α-Acetylsulfanyl-3-oxo-17α-pregn-4-ene-21,17-carbolactone
スピロノラクトンはカリウム保持性利尿薬である。
名前から分かるようにスピロ環とラクトン環を有する。
主な医薬品: アルダクトンA
構造式 国試初登場
108-209-5
出典:薬剤師国家試験 108回問209
この構造式は ヒドロクロロチアジド と考えらえる。
化学名: 6-Chloro-3,4-dihydro-2H-1,2,4-benzothiadiazine-7-sulfonamide 1,1-dioxide
ヒドロクロロチアジドはベンゾチアジアジン骨格を有する。
構造式 国試初登場
108-209-6
出典:薬剤師国家試験 108回問209
この構造式は メチルジゴキシン と考えらえる。
化学名: 3β-[2,6-Dideoxy-4-O-methyl-β-D-ribo-hexopyranosyl-(1→4)-2,6-dideoxy-β-D-ribo-hexopyranosyl-(1→4)-2,6-dideoxy-β-D-ribo-hexopyranosyloxy]-12β,14-dihydroxy-5β-card-20(22)-enolide
メチルジゴキシンは強心配糖体のひとつで、ステロイド、糖、ラクトンの3つを構造に有する。 主な医薬品: ラニラピッド
構造式 国試初登場
108-211-1
出典:薬剤師国家試験 108回問211
この構造式は ダパグリフロジン と考えらえる。
ダパグリフロジンはSGLT2阻害薬である。SGLT2阻害薬のリード化合物はフロリジンである。
ガラクトピラノシド構造を有する。
主な医薬品: フォシーガ
構造式 国試初登場
108-211-2
出典:薬剤師国家試験 108回問211
この構造式は フロリジン と考えらえる。
フロリジンはリンゴ樹皮から精製された代表的な非選択的 SGLT 阻害薬。
構造式 国試初登場
108-213
出典:薬剤師国家試験 108回問213
この構造式は セフカペン ピボキシル塩酸塩水和物 と考えらえる。
化学名: 2,2-Dimethylpropanoyloxymethyl (6R,7R)-7-[(2Z)-2-(2-aminothiazol-4-yl)pent-2-enoylamino]-3-carbamoyloxymethyl-8-oxo-5-thia-1-azabicyclo[4.2.0]oct-2-ene-2-carboxylate monohydrochloride monohydrate
セフカペンはセフェム系抗生物質である。β-ラクタム系抗生物質に属しベータラクタム環+ヘテロ六員環構造を有する。
主な医薬品: フロモックス
構造式 国試初登場
108-214-1
出典:薬剤師国家試験 108回問214
この構造式は ジフェンヒドラミン と考えらえる。
化学名: 2-(Diphenylmethoxy)-N,N-dimethylethylamine monohydrochloride
ジフェンヒドラミンは第一世代抗ヒスタミン薬である。
市販薬の睡眠改善薬「ドリエル」などに含まれている。
主な医薬品: レスタミンコーワ
構造式 国試初登場
108-214-2
出典:薬剤師国家試験 108回問214
この構造式は ビソプロロール と考えらえる。
化学名: (2RS )-1-(4-{[2-(1-Methylethoxy)ethoxy]methyl}phenoxy)-3-[(1-methylethyl)amino]propan-2-ol
ビソプロロールはβ1受容体遮断である。
主な医薬品: メインテート
構造式 国試初登場
108-214-3
出典:薬剤師国家試験 108回問214
この構造式は ドネペジル と考えらえる。
化学名: (2RS)-2-[(1-Benzylpiperidin-4-yl)methyl]-5,6-dimethoxy-2,3-dihydro-1H-inden-1-one
ドネペジルはベンジルピペリジン構造が見られる。
ドネペジルはピペリジン誘導体に対して過敏症の人には禁忌である。
主な医薬品: アリセプト
構造式 6年制国家試験 3回目の登場
108-214-4
出典:薬剤師国家試験 108回問214
この構造式は アセチルコリン と考えらえる。
アセチルコリンは神経伝達物質の一つ。コリンとアセチルCoAから合成される。
主な医薬品: オビソート
構造式 国試初登場
108-214-5
出典:薬剤師国家試験 108回問214
この構造式は アドレナリン と考えらえる。
アドレナリンはカテコールアミンの一つである。
主な医薬品: エピペン
構造式 6年制国家試験 3回目の登場
関連記事: カテコールアミンの生合成のゴロ、覚え方
108-214-6
出典:薬剤師国家試験 108回問214
この構造式は ヒスタミン と考えらえる。
ヒスタミンは必須アミノ酸のヒスチジンから合成される。
構造式 国試初登場
108-238-1
出典:薬剤師国家試験 108回問238
この構造式は フェニルアセトン と考えらえる。
フェニルアセトンはアンフェタミンの前駆体となる。
構造式 国試初登場
108-238-2
出典:薬剤師国家試験 108回問238
この構造式は ヘロイン と考えらえる。
ヘロインは麻薬及び向精神薬取締法で麻薬として規制されている。
構造式 6年制国家試験 2回目の登場
108-238-3
出典:薬剤師国家試験 108回問238
この構造式は 2,4,5-トリクロロフェノキシ酢酸 と考えらえる。
化学名: (2RS)-2-[(1-Benzylpiperidin-4-yl)methyl]-5,6-dimethoxy-2,3-dihydro-1H-inden-1-one
2,4,5-トリクロロフェノキシ酢酸は登録抹消されている除草剤。
構造式 国試初登場
108-238-4
出典:薬剤師国家試験 108回問238
この構造式は アンフェタミン(フェニルアミノプロパン) と考えらえる。
アンフェタミンは覚せい剤取締法で覚せい剤に指定されている。
構造式 6年制国家試験 2回目の登場
108-238-5
出典:薬剤師国家試験 108回問238
この構造式は 6-モノアセチルモルヒネ と考えらえる。
構造式 国試初登場
108-246
出典:薬剤師国家試験 108回問246
この構造式は エドロホニウム 。
化学名: N-Ethyl-3-hydroxy-N,N-dimethylanilinium
エドロホニウムは持続効果の短い可逆性抗コリンエステラーゼ剤。重症筋無力症の診断、筋弛緩剤投与後の遷延性呼吸抑制の作用機序の鑑別診断に用いられる。
主な医薬品: アンチレクス
構造式 国試初登場






































































