※当サイトのコンテンツや情報において、可能な限り正確な情報を掲載するよう努めています。しかし、誤情報が入り込んだり、情報が古くなったりすることもあります。掲載情報は記事作成時点での情報です。最新情報は各自でご確認ください。
※各医薬品の添付文書、インタビューフォーム等を基に記事作成を行っています。
薬剤師国家試験に出題されている、医薬品、薬理成分の構造式を確認していきます。
105-7
出典:薬剤師国家試験 105回問7
この構造式はプソイドエフェドリンと考えらえる。
プソイドエフェドリンはエフェドリンのジアステレオマーである。
主な医薬品: ディレグラ配合錠
105-10-1
出典:薬剤師国家試験 105回問10
この構造式は パパベリン と考えらえる。
105-10-2
出典:薬剤師国家試験 105回問10
この構造式は シンナムアルデヒド と考えらえる。
105-10-3
出典:薬剤師国家試験 105回問10
この構造式は エモジン と考えらえる。
105-10-4
出典:薬剤師国家試験 105回問10
この構造式は l−メントール と考えらえる。
105-10-5
出典:薬剤師国家試験 105回問10
この構造式は サントニン と考えらえる。
105-12-1
出典:薬剤師国家試験 105回問12
この構造式は アミロース と考えらえる。
105-12-2
出典:薬剤師国家試験 105回問12
この構造式は マンナン と考えらえる。
105-12-3
出典:薬剤師国家試験 105回問12
この構造式は キチン と考えらえる。
105-12-4
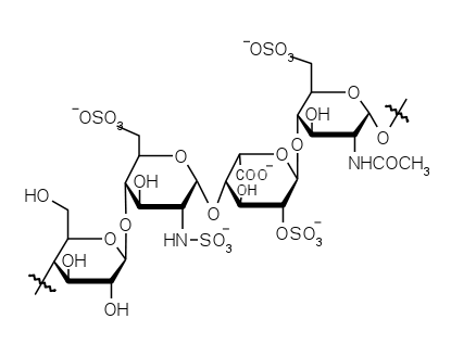
出典:薬剤師国家試験 105回問12
この構造式は ヘパリン と考えらえる。
105-12-5
出典:薬剤師国家試験 105回問12
この構造式は セルロース と考えらえる。
105-13-1
出典:薬剤師国家試験 105回問13
この構造式は チロシン と考えらえる。
105-13-2
出典:薬剤師国家試験 105回問13
この構造式は プロリン と考えらえる。
105-13-3
出典:薬剤師国家試験 105回問13
この構造式は リシン と考えらえる。
105-13-4
出典:薬剤師国家試験 105回問13
この構造式は ヒスチジン と考えらえる。
105-13-5
出典:薬剤師国家試験 105回問13
この構造式は メチオニン と考えらえる。
105-23
出典:薬剤師国家試験 105回問23
この構造式は α-トコフェロール と考えらえる。
105-37-1
出典:薬剤師国家試験 105回問37
この構造式は ドパ と考えらえる。
関連記事: カテコールアミンの生合成のゴロ、覚え方
105-37-2
出典:薬剤師国家試験 105回問37
この構造式は ドパミン と考えらえる。
105-37-3
出典:薬剤師国家試験 105回問37
この構造式は ノルアドレナリン と考えらえる。
関連記事: セロトニン・ノルアドレナリン(SNRI)のゴロ
105-37-4
出典:薬剤師国家試験 105回問37
この構造式は アドレナリン と考えらえる。
105-37-5
出典:薬剤師国家試験 105回問37
この構造式は イソプレナリン と考えらえる。
105-101
出典:薬剤師国家試験 105回問101
この構造式は クエン酸 と考えらえる。
関連記事: クエン酸回路(補酵素)のゴロ、覚え方
105-105
出典:薬剤師国家試験 105回問105
この構造式は L−シトルリン と考えらえる。
関連記事: 尿素回路のゴロ、覚え方
105-106-1
出典:薬剤師国家試験 105回問106
この構造式は ネオスチグミン臭化物 と考えらえる。
105-106-2
出典:薬剤師国家試験 105回問106
この構造式は サリン と考えらえる。
105-109-1
出典:薬剤師国家試験 105回問109
この構造式は ノスカピン と考えらえる。
105-109-2
出典:薬剤師国家試験 105回問109
この構造式は モルヒネ と考えらえる。
関連記事: モルヒネの鎮痛作用を持つ代謝物のゴロ、覚え方
105-109-3
出典:薬剤師国家試験 105回問109
この構造式は エルゴメトリン と考えらえる。
関連記事: 子宮収縮薬【麦角アルカロイド】のゴロ、覚え方
105-109-4
出典:薬剤師国家試験 105回問109
この構造式は キニーネ と考えらえる。
105-109-5
出典:薬剤師国家試験 105回問109
この構造式は スコポラミン と考えらえる。
105-114
出典:薬剤師国家試験 105回問114
この構造式は チミジル酸 と考えらえる。
105-121
出典:薬剤師国家試験 105回問114
この構造式は アカルボース と考えらえる。
105-124-1
出典:薬剤師国家試験 105回問124
この構造式は 没食子酸プロピル と考えらえる。
105-124-2
出典:薬剤師国家試験 105回問124
この構造式は チアベンダゾール と考えらえる。
105-124-3
出典:薬剤師国家試験 105回問124
この構造式は アセスルファムカリウム と考えらえる。
105-124-4
出典:薬剤師国家試験 105回問124
この構造式は デヒドロ酢酸ナトリウム水和物 と考えらえる。
105-132-1
出典:薬剤師国家試験 105回問132
この構造式は ジヒドロコデイン と考えらえる。
105-132-2
出典:薬剤師国家試験 105回問132
この構造式は コデイン と考えらえる。
105-132-3
出典:薬剤師国家試験 105回問132
この構造式は モルヒネ と考えらえる。
105-132-4
出典:薬剤師国家試験 105回問132
この構造式は ヘロイン と考えらえる。
105-133-1
出典:薬剤師国家試験 105回問133
この構造式は ハロタン と考えらえる。
105-133-2
出典:薬剤師国家試験 105回問133
この構造式は ジメチルニトロソアミン と考えらえる。
105-133-3
出典:薬剤師国家試験 105回問133
この構造式は Trp–P–2 と考えらえる。
105-133-4
出典:薬剤師国家試験 105回問133
この構造式は パラチオン と考えらえる。
105-133-5
出典:薬剤師国家試験 105回問133
この構造式は フェナセチン と考えらえる。
105-159
出典:薬剤師国家試験 105回問159
この構造式は トリアムシノロン と考えらえる。
105-161
出典:薬剤師国家試験 105回問161
この構造式は インスリン デグルデク と考えらえる。
105-171-1
出典:薬剤師国家試験 105回問171
この構造式は アセトアミノフェン と考えらえる。
105-171-2
出典:薬剤師国家試験 105回問171
この構造式は N–アセチル–p–ベンゾキノンイミン と考えらえる。
105-199
出典:薬剤師国家試験 105回問199
この構造式は オメプラゾール と考えらえる。
オメプラゾールはプロトンポンプ阻害薬である。
プロトンポンプ阻害薬は赤線のような構造を持つ。
主な医薬品: オメプラール
105-206
出典:薬剤師国家試験 105回問199
この構造式は ラベプラゾールナトリウム と考えらえる。
問199にオメプラゾールの構造が出題されていたため、構造式を見ればPPI(プロトンポンプ阻害薬)と判断できる。 プロトンポンプ阻害薬は赤線のような構造を持つ。
主な医薬品: パリエット
105-207-1
出典:薬剤師国家試験 105回問207
この構造式は ラニジチン と考えらえる。
105-207-2
出典:薬剤師国家試験 105回問207
この構造式は ボノプラザンフマル酸塩 と考えらえる。
関連記事: ボノプラザン(タケキャブ)のゴロ、覚え方
105-207-3
出典:薬剤師国家試験 105回問207
この構造式は オメプラゾール と考えらえる。
105-207-4
出典:薬剤師国家試験 105回問207
この構造式は シメチジン と考えらえる。
105-207-5
出典:薬剤師国家試験 105回問207
この構造式は ファモチジン と考えらえる。
105-208-1
出典:薬剤師国家試験 105回問208
この構造式は アプレピタント と考えらえる。
105-208-2
出典:薬剤師国家試験 105回問208
この構造式は ホスアプレピタント と考えらえる。
105-209-1
出典:薬剤師国家試験 105回問209
この構造式は オセルタミビルリン酸塩 と考えらえる。
105-209-2
出典:薬剤師国家試験 105回問209
この構造式は バラシクロビル塩酸塩 と考えらえる。
関連記事: アシクロビル、バラシクロビルの用法用量のゴロ
105-209-3
出典:薬剤師国家試験 105回問209
この構造式は ドカルパミン と考えらえる。
105-209-4
出典:薬剤師国家試験 105回問209
この構造式は クロラムフェニコールコハク酸エステルナトリウム と考えらえる。
105-209-5
出典:薬剤師国家試験 105回問209
この構造式は ロキソプロフェンナトリウム と考えらえる。
105-210-1
出典:薬剤師国家試験 105回問210
この構造式は オルメサルタンメドキソミル と考えらえる。
105-210-2
出典:薬剤師国家試験 105回問210
この構造式は メトホルミン と考えらえる。
関連記事: メトホルミン(メトグルコ)の制限量のゴロ、覚え方
105-213-1
出典:薬剤師国家試験 105回問213
この構造式は プロスタグランジンI2 と考えらえる。
105-213-2
出典:薬剤師国家試験 105回問213
この構造式は イロプロスト と考えらえる。
105-213-3
出典:薬剤師国家試験 105回問213
この構造式は ベラプロストナトリウム と考えらえる。
105-214-1
出典:薬剤師国家試験 105回問214
この構造式は グリチルリチン と考えらえる。
105-214-2
出典:薬剤師国家試験 105回問214
この構造式は ショウガオール と考えらえる。
105-214-3
出典:薬剤師国家試験 105回問214
この構造式は エフェドリン と考えらえる。
105-214-4
出典:薬剤師国家試験 105回問214
この構造式は メチルオイゲノール と考えらえる。
105-214-5
出典:薬剤師国家試験 105回問214
この構造式は シンナムアルデヒド と考えらえる。











































































