※当サイトのコンテンツや情報において、可能な限り正確な情報を掲載するよう努めています。しかし、誤情報が入り込んだり、情報が古くなったりすることもあります。掲載情報は記事作成時点での情報です。最新情報は各自でご確認ください。
※各医薬品の添付文書、インタビューフォーム等を基に記事作成を行っています。
薬剤師国家試験に出題されている、医薬品、薬理成分の構造式を確認していきます。
101-6-1
出典:薬剤師国家試験 101回問6
この構造式はエテンザミド(Ethenzamide)と考えらえる。
エテンザミドはサリチル酸系の酸性非ステロイド性抗炎症薬
主な医薬品: エテンザミド「ヨシダ」
101-6-2
出典:薬剤師国家試験 101回問6
この構造式はクロルプロマジン (Chlorpromazine)と考えらえる。
クロルプロマジンはフェノチアジン骨格を有することが特徴的である。
主な医薬品: コントミン
101-6-3
出典:薬剤師国家試験 101回問6
この構造式はアドレナリン(Adrenaline)と考えらえる。
アドレナリンはカテコールアミンの一つである。
主な医薬品: エピペン
101-6-4
出典:薬剤師国家試験 101回問6
この構造式はアセトアミノフェン(Acetaminophen)と考えらえる。
アセトCH3CO-、アミノNH2-、フェン
主な医薬品: カロナール
101-6-5
出典:薬剤師国家試験 101回問6
この構造式はアミノ安息香酸エチルと考えらえる。
アミノ、安息香酸、エチルはエステル型の局所麻酔薬。
101-9-1
出典:薬剤師国家試験 101回問6
この構造式は trans−1,4−ジメチルシクロヘキサン と考えらえる。
101-12-1
出典:薬剤師国家試験 101回問12
この構造式は L−システイン(L-Cysteine) と考えらえる。
主な医薬品: ハイチオール
101-12-2
出典:薬剤師国家試験 101回問12
この構造式は L−アスパラギン と考えらえる。
101-12-3
出典:薬剤師国家試験 101回問12
この構造式は L−アラニン と考えらえる。
101-12-4
出典:薬剤師国家試験 101回問12
この構造式は L−バリン と考えらえる。
101-12-5
出典:薬剤師国家試験 101回問12
この構造式は L−ヒスチジン と考えらえる。
101-17-1
出典:薬剤師国家試験 101回問17
この構造式は 安息香酸 と考えらえる。
101-17-2
出典:薬剤師国家試験 101回問17
この構造式は オルトフェニルフェノール と考えらえる。
101-17-3
出典:薬剤師国家試験 101回問17
この構造式は サッカリン と考えらえる。
サッカリンは人工甘味料として用いられる。様々な薬の添加物としてサッカリンナトリウムが用いられている。
101-17-4
出典:薬剤師国家試験 101回問17
この構造式は ジブチルヒドロキシトルエン(BHT) と考えらえる。
101-17-5
出典:薬剤師国家試験 101回問17
この構造式は アセスルファムカリウム と考えらえる。
アセスルファムカリウムは食品添加物の甘味料として使用が許可されている。
101-96
出典:薬剤師国家試験 101回問96
この構造式は L-リシン と考えらえる。
101-98
出典:薬剤師国家試験 101回問98
この構造式は イオタラム酸 と考えらえる。
101-103-1
出典:薬剤師国家試験 101回問103
この構造式は アセトアニリド と考えらえる。
101-103-2
出典:薬剤師国家試験 101回問103
この構造式は ニトロベンゼン と考えらえる。
101-103-3
出典:薬剤師国家試験 101回問103
この構造式は フラン と考えらえる。
101-103-4
出典:薬剤師国家試験 101回問103
この構造式は 4−メトキシクロロベンゼン と考えらえる。
101-103-5
出典:薬剤師国家試験 101回問103
この構造式は ナフタレン と考えらえる。
101-106
出典:薬剤師国家試験 101回問106
この構造式は アザチオプリン と考えらえる。
アザチオプリンはプリン環とイミダゾール環を有する。
アザチオプリンとフェブキソスタット・トピロキソスタットは併用禁忌である。
主な医薬品: アザニン、イムラン
101-107
出典:薬剤師国家試験 101回問107
この構造式は レボセチリジン塩酸塩(Levocetirizine Hydrochloride) と考えらえる。
レボセチリジンの名前はlevorotatory(左旋性)に由来する。
主な医薬品: ザイザル
101-108
出典:薬剤師国家試験 101回問108
この構造式は メラトニン(Melatonin) と考えらえる。
メラトニンはトリプトファンから生成される。
主な医薬品: メラトベル
関連記事: ラメルテオン(ロゼレム)の作用機序のゴロ、覚え方
101-109
出典:薬剤師国家試験 101回問109
この構造式は バイカレイン と考えらえる。
バイカレインのバイカリンのアグリコン。フラボノイドの一種である。
101-103-1
出典:薬剤師国家試験 101回問103
この構造式は ナイトロジェンマスタード と考えらえる。
ナイトロジェンマスタードは名前の通り窒素を含む。
シクロホスファミドはナイトロジェンマスタード誘導体である。発癌イニシエーターである。
101-103-2
出典:薬剤師国家試験 101回問103
この構造式は ジメチルニトロソアミン と考えらえる。
101-103-3
出典:薬剤師国家試験 101回問103
この構造式は ベンゾ[a]ピレン と考えらえる。
ベンゾ[a]ピレンはベンゼン環を五個有する。
101-103-4
出典:薬剤師国家試験 101回問103
この構造式は アフラトキシンB1 と考えらえる。
アフラトキシンB1は真菌類によって産生される毒素の一種。
アフラトキシン類はクマリンとビスフラン骨格が特徴的。
101-103-5
出典:薬剤師国家試験 101回問103
この構造式は 4−ジメチルアミノアゾベンゼン と考えらえる。
101-207
出典:薬剤師国家試験 101回問207
この構造式は セフジニル(Cefdinir) と考えらえる。
セフジニルはセフェム系抗生物質でβラクタム構造を有する。7-アミノセファロスポラン酸の3位にビニル基、 7位に2-アミノチアゾリルヒドロキシイミノ基を有する
主な医薬品: セフゾン
101-209
出典:薬剤師国家試験 101回問209
この構造式は ゾルピデム酒石酸塩(Zolpidem Tartrate) と考えらえる。
ゾルピデムは非ベンゾジアゼピン構造で、ω1 受容体に選択的に作用する。イミダゾピリジン構造を有する。
主な医薬品: マイスリー
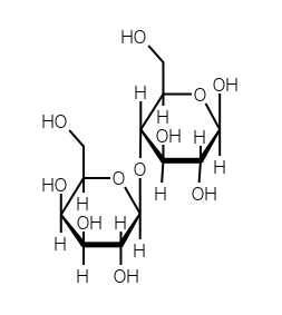
101-210
出典:薬剤師国家試験 101回問210
この構造式は 乳糖(Lactose) と考えらえる。
乳糖はガラクトピラノースとグルコピラノースがβ-1,4-グリコシド結合した二糖である。
101-213
出典:薬剤師国家試験 101回問213
この構造式は プレドニゾロン(Prednisolone) と考えらえる。
プレドニゾロンは合成糖質副腎皮質ホルモン。ステロイド骨格を有する。
主な医薬品: プレドニン
101-215-1
出典:薬剤師国家試験 101回問215
この構造式は シンナムアルデヒド と考えらえる。
ケイヒの精油成分。芳香族アルデヒド。
IUPAC名は(2E)-3-phenylprop-2-enal。
101-215-2
出典:薬剤師国家試験 101回問215
この構造式は グリチルリチン酸 と考えらえる。
甘草の根に含まれるグリチルリチンはトリテルペン配糖体である。サポニンの中にもアグリコンにトリテルペン構造を持つ種類がある。アグリコンがトリテルペン(C30)で構成されていることからグリチルリチンと推測。
また、アルドステロン様作用を有するため偽アルドステロン症による低カリウム血症などに注意が必要。
101-215-3
出典:薬剤師国家試験 101回問215
この構造式は l-エフェドリン と考えらえる。
エフェドリンはフェネチルアミン類である。
主な医薬品: ヱフェドリン「ナガヰ」錠25mg、アストフィリン配合錠
101-215-4
出典:薬剤師国家試験 101回問215
この構造式は アミグダリン と考えらえる。
アミグダリンは青酸配糖体の一つ。加水分解されるとグルコース2分子、ベンズアルデヒド、青酸が生成される。






















































